11/10/25: MIST v2 coming soon!
06/18/18: MIST v1.2 released. A subtle bug in the interpolation of secondary EEPs is fixed.
09/12/17: MIST v1.1 released. Metallicity interpolation bug in the CMD routine is fixed. Carbon-star BCs were left out in MIST v1.0 but are now included.
03/28/16: MIST v1.0 released.
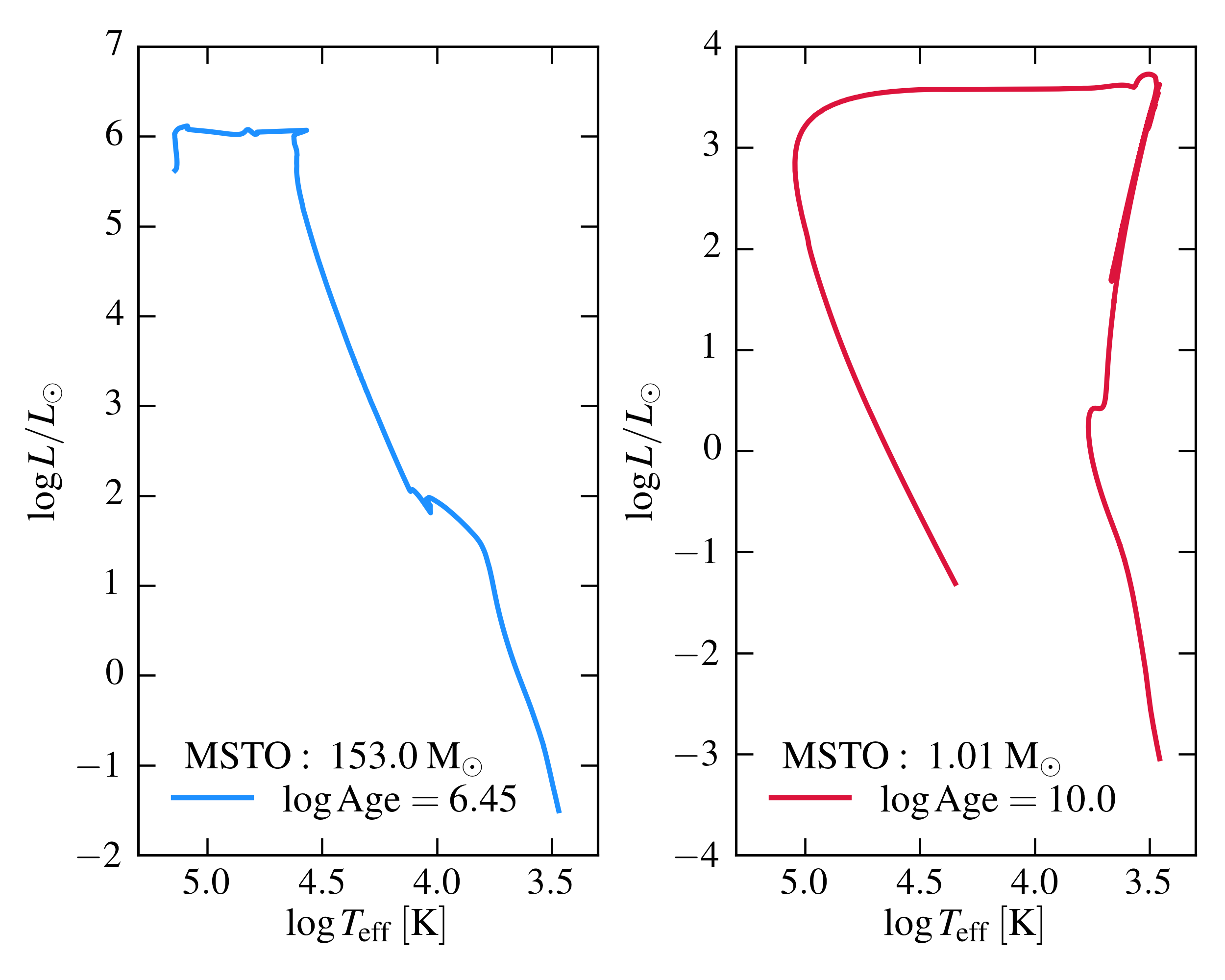
Extensive mass and age coverage
The current release consists of masses ranging from 0.1 to 300 solar masses and log(Age) ranging from 5 to 10.3. We're currently working on extending the models down to the brown dwarf regime.
Pre-main sequence to advanced evolutionary phases
Stars are evolved continuously to central hydrogen depletion, white dwarf cooling sequence, or central carbon depletion depending on the stellar mass.
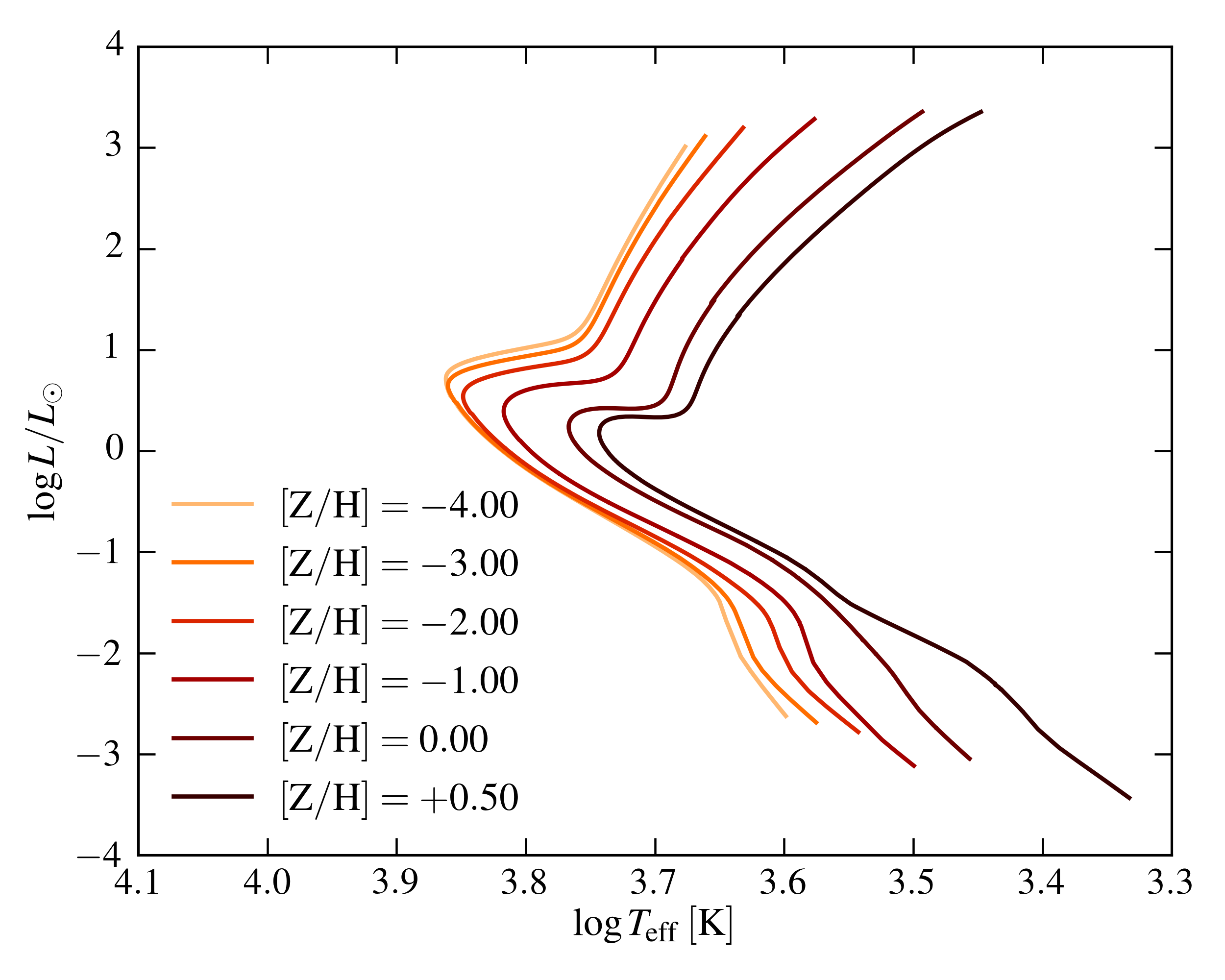
Wide range in metallicities
MIST version 1 adopts solar-scaled abundances from Asplund et al. (2009), with metallicities ranging from [Fe/H] = -4 to 0.5. MIST version 2 adopts the GS98 solar abundance pattern and includes the full range of [Fe/H] and a range of [α/Fe] values.